【Case Study】Route, Solid-State, and Impurity Optimization (Small-Molecule API)

Facebook
LinkedIn
Route, Solid-State, and Impurity Optimization (Small-Molecule API)

Program Type: Small-molecule API
CMC Focus: Route optimization, solid-state control, impurity management

Overview

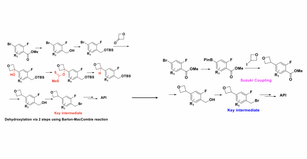
In a separate small-molecule program, Medicilon re-engineered the API synthetic route and solid form strategy to significantly improve manufacturability, safety, and analytical control. The work integrated process chemistry, solid-state science, and analytical development under a unified CMC framework.

Key Outcomes

  • Route simplification and yield improvement:
    Reduced steps to a key intermediate from 7 to 4, increasing yield from <5% to >20%, while eliminating a malodorous sulfur reagent and avoiding reliance on SFC chiral separation.
  • Robust solid-form selection:
    Identified an optimal salt form through comparative XRPD and crystallization screening, followed by tailored crystallization methods to generate high-quality single crystals for structure confirmation and IP support.
  • Enhanced impurity and solvent control:
    Reduced residual solvents using a toolbox of 20+ crystallization and drying strategies, and upgraded analytical methods to clearly resolve and control previously overlapping impurities.

Route/step and yield optimization:

 

  1. Improve efficiency

 The liner sequence steps were reduced from 12 to 7, total yield was increased from <1% to >10%l, no silica gel column purtications were needed.

2. Reduce steps

Medicilon reduced the route to the key intermediate from seven to four steps and increased yield from less than 5 to over 20 by redesigning the CMC API process.

Solid State R&D Platform:

1.) Salt and Crystalline” (XRPD of HCl vs malic acid salt).

2.) Crystalline Form” (conventional vs novel crystallization methods to obtain single crystals).

Solvent residue and impurity control:

1.) Solvent Residue Removal: 20+ classic and self‑developed methods to reduce solvent residue

2.) API analytical methods

  • Original analytical Method Spectrum:

Related impurities could not be completely separated

  • Analytical Method Spectrum after optimization

Related impurities could be effectively separated

Search Medicilon

Medicilion Congratulates MediLink Therapeutics on Licensing B7H3 ADC to Roche

Medicilon Signs Five-Year Strategic Cooperation Agreement with BioPartners X to Jointly Promote Innovative Drug R&D

Medicilion Congratulates MediLink Therapeutics on Licensing B7H3 ADC to Roche

Medicilon and Protheragen Forge Strategic Partnership to Build a Collaborative “Project + Platform” Model

Medicilion Congratulates MediLink Therapeutics on Licensing B7H3 ADC to Roche

AOC Development: Conjugation Site Selection, DAR Control & In Vitro Testing | Full Webinar

Contact Medicilon

Name(Required)
Address(Required)