【Case Study】IND Completion in 12 Months (Small-Molecule NCE)

Facebook
LinkedIn
IND Completion in 12 Months (Small-Molecule NCE)

Program Type: Small-molecule New Chemical Entity (NCE)
Scope: End-to-end CMC (API process development, analytics, GMP manufacturing, regulatory documentation)
Outcome: IND approval achieved ~12 months from contract signing

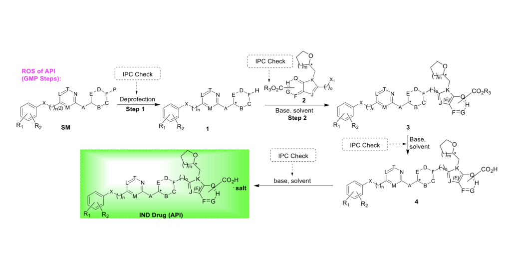
Project Overview

Medicilon supported a small-molecule NCE program with fully integrated CMC services, enabling IND approval within approximately 12 months from project initiation. The program followed a phase-appropriate, QbD-driven CMC strategy aligned with both FDA and NMPA regulatory expectations, supporting parallel China–U.S. filings.

Starting from early route optimization and laboratory synthesis, Medicilon’s CMC team executed process development, safety evaluation, analytical method development and validation, GMP manufacturing, and CTD Module 3 preparation under a tightly managed, milestone-based timeline.

CMC Strategy & Execution

  • Synthetic route redesign and optimization for scalability and robustness
  • Laboratory confirmation and small-scale synthesis
  • Process safety evaluation and risk assessment
  • Analytical method development and validation
  • GMP API batch manufacture for IND submission
  • CTD Module 3 drafting and regulatory readiness support

Key Outcomes

  • Significant route efficiency improvement:
    Replaced a 12-step medicinal chemistry route (total yield ~1%) with a 7-step CMC-optimized route (total yield ~10%), eliminating multiple silica-gel purification steps and improving scalability.
  • Accelerated IND timeline:
    Completed process optimization, safety assessment, GMP manufacturing, and CMC documentation within a compressed development window, supporting IND approval in ~12 months.
  • Regulatory-aligned execution:
    Delivered submission-ready CMC data packages suitable for parallel China–U.S. IND filing, minimizing regulatory risk and rework.

Search Medicilon

Medicilion Congratulates MediLink Therapeutics on Licensing B7H3 ADC to Roche

Medicilon Signs Five-Year Strategic Cooperation Agreement with BioPartners X to Jointly Promote Innovative Drug R&D

Medicilion Congratulates MediLink Therapeutics on Licensing B7H3 ADC to Roche

Medicilon and Protheragen Forge Strategic Partnership to Build a Collaborative “Project + Platform” Model

Medicilion Congratulates MediLink Therapeutics on Licensing B7H3 ADC to Roche

AOC Development: Conjugation Site Selection, DAR Control & In Vitro Testing | Full Webinar

Contact Medicilon

Name(Required)
Address(Required)